Sbírka právních předpisů územních samosprávných celků a některých správních úřadů
MENU
Úvod
Formuláře pro vklad
Vyhledávání
Metodické materiály
Tvorba právních předpisů
Notifikace
Nařízení č. N 1/2023, o stání silničních motorových vozidel na vymezených místních komunikacích ve městě Kladně - verze 2
Nařízení 1-2023 - o stání silničních motorových vozidel na vymezených místních komunikacích.docx
Přílohy
Příloha č. 2 Grafické vyznačení parkovacích oblastí.jpg
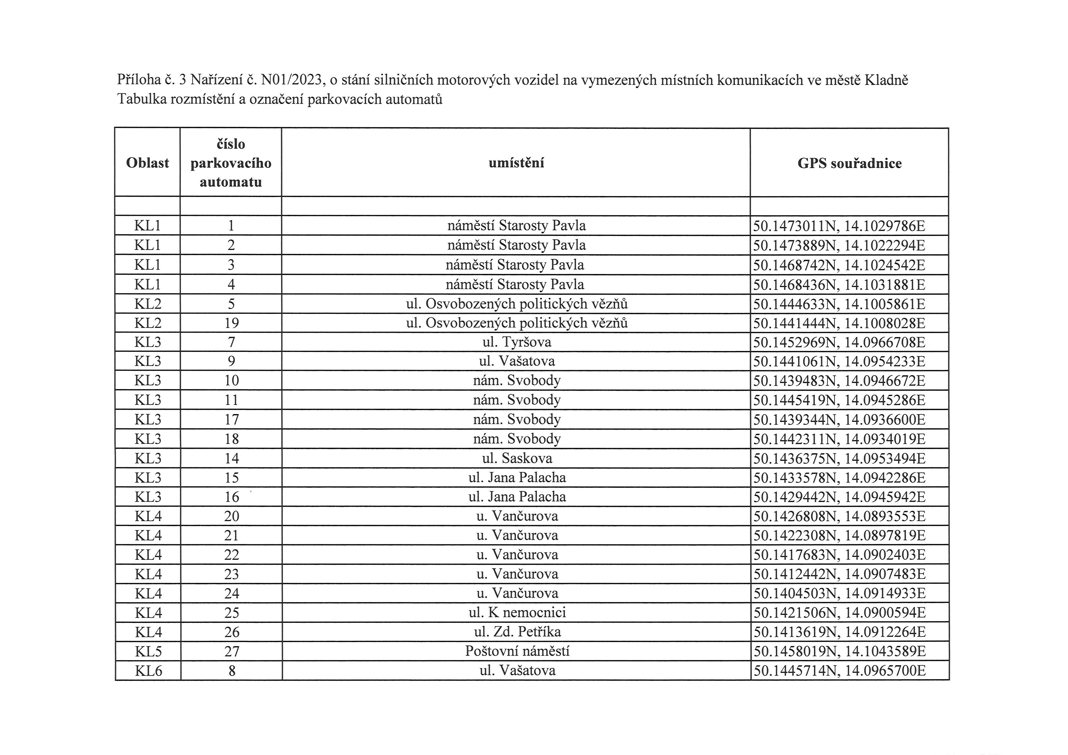
Příloha č. 3 Tabulka rozmístění a označení parkovacích automatů.jpg
Příloha č. 4 Cena parkovného a provozní doba.jpg
Příloha č. 5 Cena parkovného zakoupením parkovací karty.pdf
Předpisy, ke kterým existuje návaznost
Název podání
Číslo právního předpisu
Druh návaznosti
Datum nabytí účinnosti
Datum vyhlášení
o stání silničních motorových vozidel na vymezených místních komunikacích ve městě Kladně
2/2012
Zrušení
21.05.2012
03.05.2012